微分几何学与拓扑学有老师能教吗?可以辅导吗,注意是留学生,国外的课程。
最佳答案
课程顾问-小管家
2023-04-20 20:25:54
可以辅导的同学~可以辅导微分几何学与拓扑学~我们是专注于留学生学术辅导12年,可辅导专业内容涵盖达97%。
微分几何学与拓扑学辅导
必要的数学基础是理解拓扑凝聚态物理学的前提,其核心内容是闭曲面的Gauss-Bonnet公式:
其中,等号左边的K为闭曲面上某点的Gauss曲率;dA为闭曲面的面积元,所以上式等号左边完全由闭曲面的局域几何性质决定;等号右边则是刻画闭曲面整体性质的2个拓扑不变量:闭曲面的亏格数g与Euler示性数χ,两者的关系为
χ=2-2g
因此,Gauss-Bonnet公式把闭曲面的局域微分性质与整体拓扑性质有机地联系在一起。进而,我们分别以亏格为0的球面S2与亏格为1的环面T2为例,引导学生计算验证了式(1)。下面,分别阐述教学中需要注意的问题。
首先,对于式(1)中等号左边,关键在于介绍Gauss曲率K。考虑到学生已经在狭义相对论中学习过张量运算,并在高等数学中接触过基础的微分几何学,因此,可以比较容易地引入曲面的第一基本形式,即曲面上两点间线元平方ds2的二次型表达式,
ds2=gμνduμduν
其中,uμ,uν(μ,ν=1,2)为曲面的坐标;gμν为曲面的度规。进而,再形象地引入曲面的第二基本形式,即曲面上某点邻域内的另一点对该点处切平面的偏离δ的二次型表达式,
2δ=ωμνduμduν
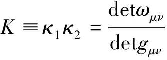
由此,说明利用曲面上某点处的两个基本形式之比就可以刻画曲面在这一点某个方向上的弯曲程度,即曲面的法曲率κn=2δ/ds2。很容易看出,法曲率在两个正交的方向上分别有最大值κ1与最小值κ2。在此基础上,即可给出
曲面的Gauss曲率K:
这样下来,学生就会比较自然地接受这些概念。
如果同学需要更多更专业的内容辅导,可以直接添加下方客服微信(备注官网)咨询我们。
相关问答
最新问答

英国全球治理论文可以安排到老师补习指导吗?
急求一名可以辅导英国UCL全球治理论文的老师,希望老师能负责一些,我有好多的问题想请教老师,老师知识渊博再好不过了,能给我提供越多的思路越好。
考而思2025-11-27
英国林肯大学BA (Hons) Business and Finance商务与金融专业能补习课程吗?
英国林肯大学BA (Hons) Business and Finance商务与金融专业能补习课程吗,我目前是大一,有一部门的课程想补习一下,就是我有不会的,就能找老师补习哪部分最好
考而思2025-11-18
英国读研挂科了怎么办?是不是就不能毕业了呢?
英国读研挂科了怎么办?会不会就不能毕业了?什么情况下会影响我的毕业啊,我总感觉我有一门课程会挂,自己本身也没有学好,明天考试注定了...挂科了怎么办?
考而思2025-11-18